18117547086
021-52807152

精密仪器测量洁净车间实验室建设要求达到空气净化、恒温恒湿的基本要求。精密仪器室内配备了很多精密仪器,所以进行实验室设计时要让精密仪器室远离灰尘、烟雾、噪音和震动源。随着现代工业的发展,对实验、研究和生产的环境要求越来越高,空气调节技术的内容也随之逐步扩大。现代空调技术不仅包含空气的温度、湿度和速度的概念,而且还包含了调节其洁净度、压力以至成分、气味的概念,以适应现代化的科学实验和生产活动对空气洁净度的要求。
一、精密仪器测量洁净车间实验室装修设计的装修规范
1. 精密仪器室的设计要做到8“防”,分别是防火、防震、防潮、防尘、防磁、防噪、防腐、防有害气体。此外,室内温度要控制在15℃~30℃,条件允许的话最好能控制在18℃~25℃,室内湿度要控制在60%~70%为宜。
2. 精密仪器室的地面以水磨石地面或防静电地面为宜,不建议使用地毯,不仅易积灰,还易产生静电。供电电压要稳定,通常允许电压有±10%的浮动。如有必要,可配备稳压电源等附属设备。此外,为了保证供电不间断,必须采用双电源供电,并配备专用地线,且接地极电阻小于4Ω。
3. 由于气相色谱室及原子吸收分析室要使用高压钢瓶,所以在实验室设计时最好能设计在靠近钢瓶室的位置。实验台与墙面要有0.5米的间距,以便操作与维修。此外,要在原子吸收仪器上方设局部排气罩。
4. 如果仪器由微型计算机或微机控制,那么必须注意对供电电压和频率。为了避免电压瞬变、瞬时停电、电压不足等现象,可以根据需求选用不间断电源(UPS)。
5. 进行精密仪器室设计的同时,也要做好相关配套化学处理室的设计工作,因为这在保护仪器和加强管理上是非常必要的。
二、精密仪器测量洁净车间实验室装修设计的通风设计
洁净室和一般空调房间不同,其送风量不是由系统的冷热负荷来计算的,因为这样计算的风量远小于由净化要求按换气次数或房间截面风速计算得到的风量,因此,对净化空调系统,一般先按净化要求的换气次数或截面风速来计算送风量而不管其冷热负荷如何。
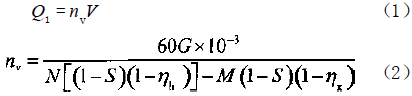
1. 乱流洁净室送风量
乱流洁净室送风量的理论计算(其中nv—洁净室换气次数,次/h;V—洁净室净体积,m3;G—单位容积发尘量,粒/(m3.min);N—乱流洁净室稳定含尘浓度,粒/L;S—回风量与送风量之比;ηh—回风通路上过滤器的总效率;ηx—新风通路上过滤器的总效率)如下:
关于精密仪器测量洁净车间实验室装修设计的通风设计,SAREN三仁净化的建议换气次数为:1 000级nv≮50;10 000级nv≮25;100 000级nv≮15
2. 单向流洁净室送风量
单向流洁净室送风量以房间截面平均风速为准来计算:Q2=3600u F(3)。其中F—垂直于气流的房间截面积,m2;υ—截面平均风速,m/s。
3. 系统新风量
《洁净厂房设计规范》GB50073-2001中规定:洁净室内的新鲜空气量应取下列二项中的最大值:补偿室内排风量和保持室内正压所需的新鲜空气量之和;保证供给洁净室内的新鲜空气量应不小于40m3/(h.人)。
三、SAREN三仁精密仪器测量洁净车间实验室建设案例
SAREN三仁,专业提供千级至三十万级标准洁净工程的设计、施工安装一站式服务,以高质量的工程建设和高标准的服务品质,承建了国内数百家企业的净化室车间、无尘厂房、洁净实验室工程。拥有国家设计与施工二级资质、净化工程设计与施工一级资质环保一级资质、机电安装三级资质、钢结构三级资质、环保三级资质。三仁过往精密仪器测量洁净车间实验室建设案例如——宁波德朗能电池洁净车间装修工程。
2019年3月5日,SAREN三仁与宁波德朗能锂电池科技有限公司合作建设的宁波德朗能锂电池洁净车间装修工程正式开工。德朗能于2001年10月在上海奉贤区成立,并先后于上海、深圳、张家港、宁波、天津设立生产基地和销售中心。产业以电芯制造为主,并逐步向中下游系统集成业务延伸,现已经成为国内知名绿色能源解决方案供应商,产业涵盖动力锂离子电池、电池控制系统、民用电池及相关产品的研发、设计、生产、销售及服务。注:案例图片仅供三仁内部使用,禁止盗图。
相关文章推荐:
SAREN精密制造净化厂房装修案例展示:

